Is 60 the New 50? Examining Changes in Biological Age Over the Past Two Decades
Ref: Levine, M. E., & Crimmins, E. M. (2018). Is 60 the New 50? Examining Changes in Biological Age Over the Past Two Decades. Demography, 55(2), 387–402. https://doi.org/10.1007/s13524-017-0644-5
Motivaton
为什么想起来要给这篇做一个推文呢?这是因为最近在想形势政策课程报告的主题,想起来之前那篇关于美国延迟退休政策的 JLE 论文
(传送门:JLE2023_The Impact of the Retirement Slowdown)。
由于时间比较久,我们简单总结这篇论文:基于美国的结论是中性偏负面的——中性在于,没有证据表明美国延迟退休政策对青年就业存在显著影响;偏负面的是论文发现延迟退休政策对青年工资、职业类型和工作流动性存在一定的不利影响。具体而言,发现是退休人数减少1%,青年劳动者从事高技能工作比例下降1.2%(主要是更难成为管理层)、工作流动性下降0.35%、工资时薪下降约5%。
既然其他国家证据发现延迟退休的影响没有那么正面,为什么我国还要推行呢?一个受到很多讨论的原因当然是老龄化趋势下养老金体系的现收现付压力。而另一方面基于人文关怀需要考虑的是:延迟退休的这部分劳动者是否还有能力(体力+精力)继续履职?
换言之,我国当时确定退休年龄政策时的国情与现在毫无疑问存在变化。在1949年,我国人均预期寿命仅为35岁,到1978年平均年龄是68.3岁,而在2023年,中国的平均年龄已经达到78.6岁。 就像经济学中常常区分的名义 GDP 和实际 GDP 一样,我们在平时计算的退休年龄是通过名义年龄——也就是出生年份衡量的,这并不能完全反映劳动者的劳动能力——事实上,以实际劳动能力低于某一限度作为退休的标准可能才更合理。(类比地,就像机器的折旧一样,如果随着技术进步,机器保养越来越好,那么机器的额定使用年限也会在安全的范围内逐渐延长。)
作为实际劳动能力的一个代理变量,现有文献对于生理年龄的讨论也不断增加。在西方有宣传称“60 the New 40”,有点像咱们的“夕阳红”的意思,毫无疑问对比于40岁说法有点夸张,但*“同样名义年龄的人群有更低的生理年龄”* 可能所言非虚。今天介绍的这篇人口学顶刊文章就以美国为背景进行了有趣的对比。
摘要
延长预期寿命被解释为改善人口的健康状况。然而,死亡率并不总是衰老速度的可靠代表,而是可能反映出让患病者活着的成就。使用来自 NHANES-3 的1988-1994年数据和 NHANES-4 的2007-2010年数据,本文研究了美国人在 1988-2010 年间生理年龄相对于时序年龄的变化,同时估计了可改变健康行为变化的贡献。
结果表明,更近时间范围的人有着较低的生理年龄;降低的程度因年龄组和性别组而异。总体而言,老年人的生理年龄改善幅度最大。男性(尤其是最年轻和最年长群体的男性)生理年龄下降幅度大于女性。这些差异部分是由年龄和性别特异性的行为变化解释的,例如吸烟、肥胖和药物使用。减缓老龄化速度以及延长预期寿命具有重要的社会和经济影响,因此确定导致健康和老龄化队列差异的可改变风险因素至关重要。
样本与变量测度
本文的分析样本包括来自美国 National Health and Examination Survey 第三波 (n= 13,426) 和第四波 (n= 8,149) 的 21,575 名年龄在 20-79 岁之间的受试者。两轮调查的未加权回复率分别为 78.0% 和 77.3%。
生物年龄方程的参数来自调查的汇总数据;所有计算均使用抽样权重。该算法包含实际年龄信息,以及表明代谢、心血管、炎症、肾脏、肝脏和肺功能的八个因素(通过医学指标得到)。我们的测量基于 Klemera 和 Doubal (2006) 提出的算法,该算法生成了一个测量“生理年龄”的方程。
在调查中有两个问题报告了吸烟状况:(1) “您一生中至少抽过 100 支香烟吗?”、 (2) “您目前抽烟吗?”使用常用的吸烟状况分类,参与者被分类为 (1)当前吸烟者,对两个问题的回答都是肯定的;(2)前吸烟者:如果他们报告至少吸烟 100 支,但目前不吸烟;(3) 非吸烟者:回答都是否定的。
体重指数 (BMI) 的计算方法是测量的体重 (kg) 除以测量的身高 (米) 的平方。BMI 在 25 到 29.9 之间的参与者被归类为超重,而 BMI 为 30 或以上的参与者被归类为肥胖。由于体重不足 (BMI < 18.5)没有产生明显不同的结果,因此作者把体重不足的样本合并进体重正常的组别。
使用自我报告确定药物使用情况。参与者被问及他们是否正在服用治疗 (1) 高血压和 (2) 高胆固醇的处方药。对于服药的人,通过使用收缩压和总胆固醇的估算水平重新计算生物年龄。
社会人口学特征方面,作者使用了调查中汇报的种族、教育程度、性别和实际年龄。
- 使用种族信息,作者把受访者分为四个种族群体:非西班牙裔白人、非西班牙裔黑人、西班牙裔和其他。
- 使用受教育年限信息,作者把受访者分为四个教育组:(1) 受教育年限少于 12 年,(2) 受教育年限正好为 12 年,(3) 受教育年限为 13-15 年,以及 (4) 受教育年限为 16 年或以上。
- 使用性别信息,作者创建虚拟变量:男性为 0,女性为 1。
- 使用实际年龄信息,作者把受访者分为年轻 (2039)、中年 (40-59) 还是老年 (60-79) 三个年龄组。
下面这个表格展示了样本描述性统计:
模型与研究结果

结果方面主要通过论文图表来介绍~

怎么解释这张图片?以老年人组为例,2007-2010年美国60-79岁男性生理年龄较1988-1994年降低4.29岁、女性生理年龄降低3.63岁。这意味着60岁群体的劳动力与十年前的55岁群体基本相当。p值0.088意味着不同性别间存在显著差异。
这张图片正是我们最感兴趣的:相较于10年前,所有年龄组和性别组的参与者的生理年龄都更年轻。
- 对于女性,20-39 岁、40-59 岁和 60-79 岁女性的生理年龄在两个时期之间分别下降了 0.63 岁、2.36 岁和 3.63 岁;
- 对于男性,20-39 岁、40-59 岁和 60-79 岁男性的生物年龄分别减少了 1.27 岁、2.65 岁和 4.29 岁。
总体而言,每个年龄组的女性的生理年龄都明显低于男性。例如,对于第 1 期 20-39 岁、40-59 岁和 60-79 岁的人,女性的平均生理年龄相对于男性分别低 3.48 岁、2.21 岁和 1.31 岁。同样,对于第 2 期 20-39 岁、40-59 岁和 60-79 岁的人,女性的生理年龄分别比男性低 2.84 岁、1.91 岁和 0.65 岁。
尽管女性的生理年龄始终低于男性,并且所有年龄/性别组在两个时期之间都表现出改善,但结果还表明:性别差异随着时间的推移而减少。性别差距的缩小对于中年群体 (p= 0.299) 不显著,但对于最年轻的年龄组 (p= 0.003) 具有统计学意义,对于最年长的年龄组 (p= 0.088) 具有较弱的显著性。此外,这一变化表明,尽管男性和女性在两个时期之间的生物年龄都有显着改善,但男性的改善更大,有助于缩小性别差距。
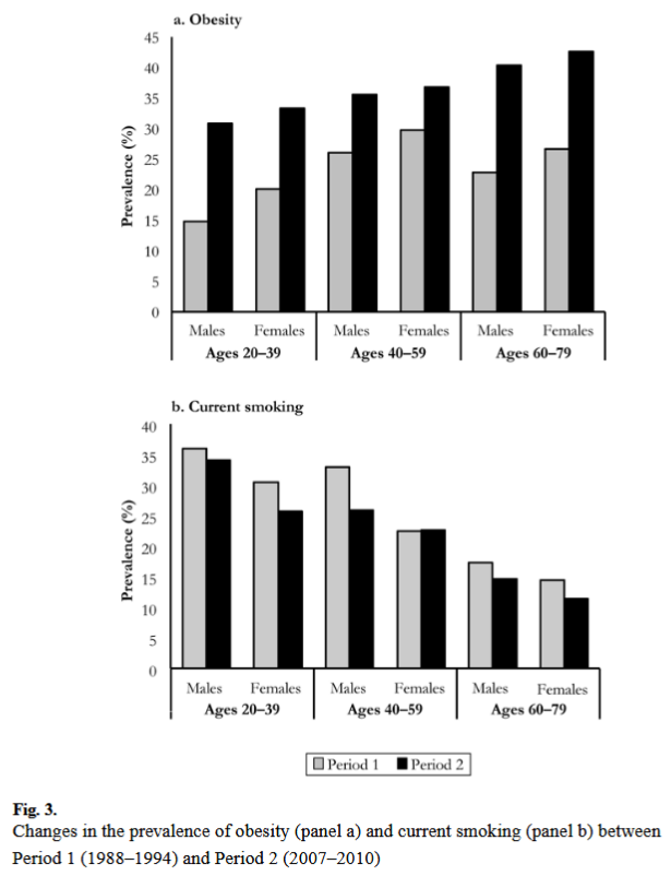
进一步,作者还检查了一些生理年龄的重要影响因素:吸烟、肥胖、药物使用。更多相关内容请见原文~



前面三张图片反映了吸烟、肥胖对生理年龄的不利影响;下面的图5则相反,讨论了药物使用增加对生物年龄改善的积极作用。其中,药物使用对老年人的影响最大。
